分享发布深圳市房产相关法律法规
编者按:深圳市人民政府关于印发深圳市物业专项维修资金管理规定的通知深府规〔2020〕8号各区人民政府,市政府直属各单位: 《深圳市物业专项维修资金管理规定》已经市政府同意,现予印发,请认真组织实施。实施中遇到的问题,请迳向市住房建设局反映。 深圳市人民政府 2020年10月22日深圳市物业专项维修资金管理规定 第
深圳市人民政府关于印发深圳市物业专项维修资金管理规定的通知
深府规〔2020〕8号
各区人民政府,市政府直属各单位:
《深圳市物业专项维修资金管理规定》已经市政府同意,现予印发,请认真组织实施。实施中遇到的问题,请迳向市住房建设局反映。
深圳市人民政府
2020年10月22日
深圳市物业专项维修资金管理规定
第一章 总则
第一条 为了加强深圳市物业专项维修资金的管理,保障物业管理区域共有物业的正常使用,维护物业专项维修资金共有人的合法权益,根据《深圳经济特区物业管理条例》(以下简称《特区条例》)等法律法规的规定,结合本市实际,制定本规定。
第二条 本规定适用于深圳市住宅、商住、办公及商业等物业专项维修资金的缴纳、使用、管理和监督。
第三条 一个物业管理区域内有两个以上独立产权单位和房屋所有权人的,应当设立物业专项维修资金。
一个物业管理区域内有两个以上独立产权单位但仅有一个房屋所有权人,根据土地出让合同约定或者其他合法形式确定土地性质为商品房的,应当设立物业专项维修资金,但限整体转让的除外。
一个物业管理区域内仅有一个独立产权单位的,可以自愿选择设立物业专项维修资金。
第四条 物业专项维修资金属于业主共有,用于保修期满后共有物业的安全检测鉴定、维修、更新和改造。
前款所称的共有物业包括物业共用部位和共用设施设备。
第五条 市住房和建设部门负责组织实施本规定及国家相关管理办法,监管本市物业专项维修资金。各区住房和建设部门负责本辖区物业专项维修资金的监管工作。
市财政、审计、发展改革等相关部门依据各自职责对全市物业专项维修资金的管理进行监督。
第六条 市物业专项维修资金管理机构(以下简称市管理机构)负责全市物业专项维修资金统筹管理工作。通过招投标方式确定物业专项维修资金专户银行(以下简称专户银行),开立物业专项维修资金专户,建立物业专项维修资金管理系统,对物业专项维修资金的收取、存储、使用、增值和查询等进行统筹管理。
区物业专项维修资金管理机构(以下简称区管理机构)负责辖区内物业专项维修资金的具体监督管理工作,接受市管理机构的业务指导。
街道办事处负责对本辖区物业专项维修资金的使用进行监督管理,并协助区管理机构开展物业专项维修资金收取的相关工作。
第二章 缴交和续筹
第七条 本市物业专项维修资金包括首期归集的专项维修资金(以下简称首期维修金)和日常收取的专项维修资金(以下简称日常维修金)。
第八条 首期维修金由建设单位按照物业项目建筑安装工程总造价的百分之二,在办理该物业项目不动产首次登记前一次性划入市管理机构设立的物业专项维修资金专户。
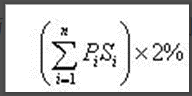
首期维修金,应当依据房屋建筑面积测绘报告(竣工测绘),按照下列公式计算收取:

其中:n为其物业类型种类数量,i代表第i种类型物业,Pi为第i种类型物业每平方米建筑安装工程造价标准,Si为第i种类型物业总建筑面积。
各类型物业每平方米建筑安装工程造价标准按照市住房和建设部门公布的标准执行;各类型物业总建筑面积是指房屋建筑面积测绘报告(竣工测绘)载明的该类型物业建筑面积之和。
物业管理区域由一个独立产权单位申请分割为两个以上独立产权单位的,由申请首次转移登记时的房屋所有权人按照提交首次转移登记申请时同类型物业项目首期维修金的缴纳标准,在办理登记前一次性缴清物业专项维修资金。
市人民政府对首期维修金缴纳标准依法进行适度调整的,按照调整后的标准计取。
第九条 首期维修金应当按栋立账、核算到户,按照物业管理区域内业主专有部分建筑面积所占本栋业主专有部分建筑面积之和的比例分摊到户。业主的专有部分建筑面积以市不动产登记部门登记的分户建筑面积为准,没有在市不动产登记部门登记的,以建筑面积测绘报告(竣工测绘)载明的面积为准。
市不动产登记部门应当协助提供物业管理区域分栋分户数据等信息。
第十条 业主应当自入住之日起,按照不低于市住房和建设部门会同市发展改革部门确定的缴纳标准缴纳日常维修金。日常维修金由业主在按月缴纳物业管理费时一并缴纳。
市住房和建设部门可会同市发展改革部门,根据我市实际情况对缴纳标准进行适时调整。
本规定实施前物业管理区域全体业主未缴纳日常维修金的,由该物业管理区域业主大会决定补缴数额。
第十一条 业主大会决定将日常维修金移交市管理机构统一管理的,由业主大会或者物业服务企业按月存入物业专项维修资金专户。
业主大会决定依法自行管理的,应当将日常维修金存入业主共有资金账户下设立的日常维修金子账户。
业主大会既未决定将日常维修金移交市管理机构统一管理,又未决定由业主大会自行管理的,应当按月将日常维修金移交市管理机构统一管理。
第十二条 按月移交日常维修金至物业专项维修资金专户的,业主大会或者物业服务企业应当先与市管理机构和开户银行签订银行托收协议。具体移交时按照以下程序执行:
(一)业主大会或者物业服务企业按月向业主收取日常维修金并存入银行托收账户,并在次月10日前通过物业专项维修资金管理系统以户为单位填报本物业管理区域缴纳日常维修金的信息,校核无误后提交。
(二)业主大会或者物业服务企业提交数据后,应当即时打印《欠缴名册》并将《欠缴名册》在本物业管理区域范围内公示,公示期不少于十日。
(三)公示期满无异议或有异议经处理后,业主大会或者物业服务企业持需提交的材料到区管理机构办理移交手续。
前款规定由业主大会负责按月移交日常维修金至物业专项维修资金专户的,业主委员会或者其委托的单位应当及时办理打印、公示《欠缴名册》及其他移交手续。
第十三条 一个物业管理区域的物业专项维修资金账户余额低于首期维修金百分之四十的,市管理机构可通过物业专项维修资金管理系统向业主委员会和物业服务企业发出续筹预警提示;物业专项维修资金账户余额低于首期维修金百分之三十的,业主大会应当按照下列程序进行续筹:
(一)业主委员会拟定续筹方案,续筹方案应当包括续筹总金额、资金来源、业主分摊资金及缴纳时限等内容。资金来源如包含附条件捐赠资金的,应当在续筹方案中说明捐赠所附条件的详细情况。
(二)业主委员会将续筹方案提交业主大会表决。
(三)业主大会依法表决通过并授权业主委员会组织续筹。
(四)续筹实施后,业主委员会持续筹方案和业主大会决议等材料到区管理机构办理续筹资金移交手续。
一个物业管理区域内分栋的物业专项维修资金账户余额低于其分栋首期维修金百分之三十的,该分栋业主可以参照前款规定共同决定进行续筹,但不得与业主大会作出的相关决定相抵触。
第十四条 本规定实施前,物业服务企业代收的日常维修金应当由业主大会与物业服务企业共同组织清算,清算后的余额应当移交至物业专项维修资金专户;依法决定自行管理的,存入业主共有资金账户下设立的日常维修金子账户。
第十五条 业主大会决定补缴日常维修金、用共有物业收益缴纳或补充物业专项维修资金、续筹物业专项维修资金、移交清算后的日常维修金余额等一次性移交至物业专项维修资金专户的,按照以下程序执行:
(一)业主委员会制定《移交明细》,公布拟移交资金的金额和分栋分户资金分摊信息。业主欠缴的,由业主委员会通知欠缴业主限期补缴。
(二)业主委员会应当将拟提交的《移交明细》在物业管理区域内公示,公示期不少于十五日。公示期内有异议的,业主委员会负责组织异议人与物业服务企业进行核实和处理。
(三)公示期满无异议或者异议经核实处理后,业主委员会审核同意的,应当由过半数以上的业主委员会委员在《移交明细》上签字,并加盖业主委员会印章。
(四)业主委员会或物业服务企业持《移交明细》等材料到区管理机构办理移交手续。
一次性移交物业专项维修资金时未同步提交《移交明细》的,业主大会应当自移交之日起一年内向区管理机构提交《移交明细》,经业主委员会向区管理机构申请,可以再延长一年提交。逾期未提交的,前款一次性移交至物业专项维修资金专户的资金及其增值收益,按照本规定第九条的原则分摊。
第三章 使用
第十六条 物业专项维修资金的使用应当遵循业主决策、方便快捷、专款专用、公开透明、受益人与负担人相一致的原则。
业主决策物业专项维修资金的使用,应当符合法律规定的业主人数比例和业主所持投票权数比例要求。
第十七条 物业专项维修资金除根据本规定第四条使用外,共有物业维修、更新和改造过程中所产生的设计、监理、验收及结算等费用也可从物业专项维修资金中支出。
鼓励探索建立维修保险制度。经业主大会决定,可以使用物业专项维修资金购买共有物业维修保险。
第十八条 物业专项维修资金的使用分摊方式由业主大会决定。业主大会没有约定或者约定不明确的,按照以下方式进行分摊:
(一)物业专项维修资金用于全体共有部分的,由物业管理区域全体业主按照各自专有部分建筑面积所占本物业管理区域业主专有部分建筑面积之和的比例共同承担。
(二)物业专项维修资金用于部分共有部分的,由该部分共有部分业主按照各自专有部分建筑面积所占该部分共有部分建筑面积之和的比例共同承担。
第十九条 使用专户统一管理的物业专项维修资金的,可以区分为专项使用、日常使用和应急使用三种情形。专项使用适用于共有物业大、中修和专项更新、改造以及安全检测鉴定等项目;日常使用适用于共有物业日常小额维修项目;应急使用适用于紧急情形下的应急处置和应急维修项目。业主大会可以通过管理规约等约定专项使用和日常使用的具体划分标准和适用范围。
专项使用应当由业主大会决定实施;日常使用应当经业主大会决定授权业主委员会组织实施;应急使用由物业服务企业依照本规定组织实施。
一个物业管理区域内物业专项维修资金账户余额低于首期维修金百分之三十的,只能用于本规定第二十四条所列应急维修事项;物业管理区域内分栋物业专项维修资金账户余额低于本栋首期维修金百分之三十的,只能用于本栋应急维修事项和业主大会决定使用物业专项维修资金事项。
第二十条 申请使用物业专项维修资金的,业主委员会或物业服务企业应当先行在物业专项维修资金管理系统注册,关联代收付结算专户,并完成项目栋和分户信息的录入和核对工作。
物业管理区域分栋分户信息与不动产登记部门登记的信息不一致的,业主委员会和物业服务企业应当对本物业管理区域的分栋分户信息予以核实确认。有不动产登记的,以市不动产登记部门登记的信息为准;没有登记的,根据不动产买卖合同等资料确定栋、房号和建筑面积等具体信息。
第二十一条 专项使用物业专项维修资金的,按照以下程序办理:
(一)物业服务企业根据物业情况或者业主要求,制定检测鉴定、维修、更新或改造方案(以下简称维修方案)。维修方案应当包括拟维修项目、维修程度、预算费用、分摊范围和标准、施工单位选定方式、竣工验收和结算原则等内容。没有物业服务企业的,业主委员会可委托施工单位制定维修方案。
(二)业主委员会组织召开业主大会或者组织相关业主投票表决。
(三)表决通过后,物业服务企业将维修方案中的相关信息及电子申请材料录入物业专项维修资金管理系统,并核对预分摊信息。
(四)物业服务企业持维修方案、业主大会决议或者部分业主的书面同意等材料到区管理机构申请首期款项备案(首期款项不得超过项目经费预算款项的百分之六十)。维修预算费用超过十万元的,需提供第三方造价审核机构的审核结论。
(五)区管理机构备案完成后,市管理机构根据区管理机构的首期款项划拨通知划拨首期款。
(六)物业服务企业按照维修方案组织实施。业主委员会负责组织竣工验收,并出具验收合格意见。业主委员会委托专业机构验收的,由专业机构出具验收合格文件。
(七)维修项目竣工验收合格后,物业服务企业上传有关申请材料至物业专项维修资金管理系统并核对尾款分摊信息后,持竣工验收合格文件、合法票据和结算资料等到区管理机构申请尾款备案。备案完成后,市管理机构根据区管理机构的尾款划拨通知划拨尾款。
对物业管理区域已垫资完成且造价未超过十万元的维修工程,可在工程竣工验收合格后按照本条款中的尾款申请流程一次性申请物业专项维修资金,申请时所提交资料应当包括首、尾款的申请材料。
第二十二条 日常使用物业专项维修资金的,业主大会可以决定设立用于共有物业日常小额维修的备用金及其额度,并决定业主委员会可以对不超过业主大会决定限额的备用金使用和再次申请进行审核。
备用金的额度不得超过物业管理区域日常维修金年度应收总额的百分之三十。备用金使用完毕,经核销后可再次申请,年度累计总额不得超过当年收取的日常维修金总额。
业主大会决定设立备用金的,由业主委员会或者物业服务企业持业主大会设立备用金的决定,向区管理机构提出备案申请,办理备用金首次划拨手续。划拨的备用金应当存入业主大会指定的账户。业主大会未指定的,存入业主共有资金账户下设立的日常维修金子账户。
市管理机构根据区管理机构的划拨通知书划拨款项。
第二十三条 使用备用金的,物业服务企业应当将备用金使用方案提交业主委员会审核,并在物业管理区域内公示。
备用金额度使用完毕并经业主委员会确认后,物业服务企业持备用金使用方案、分摊明细、合法票据等资料,向区管理机构办理核销手续。
需再次申请备用金的,经业主委员会同意,物业服务企业可在办理核销时向区管理机构一并提出办理再次申请划拨手续。市管理机构根据区管理机构的划拨通知书划拨款项。
第二十四条 物业管理区域出现下列情形,须立即消除安全隐患的,物业服务企业可以申请应急使用物业专项维修资金:
(一)物业的天台、外墙等共用部位发生严重渗漏的。
(二)电梯发生冲顶、蹲底(坠落)及其他故障,可能危及人身安全的。
(三)消防设施设备出现功能故障,存在重大安全隐患的。
(四)楼体等共用部位墙面饰面有脱落危险,玻璃幕墙炸裂,地面塌陷等危及公共安全的。
(五)共用部位的楼地板、扶梯踏板、阳台、晒台、扶梯等存在脱落危险,危及人身安全的。
(六)未向供水部门办理产权移交手续的供水主管道、进水管、水泵泵体、泵电机等用水设施设备发生故障,导致供水中断的。
(七)未向供电部门办理产权移交手续的高压柜、环网柜、变压器、线路等供电设施设备发生故障,存在用电安全隐患的。
(八)未向供水部门办理产权移交手续的专用排水设施因坍塌、堵塞等造成功能障碍,危及公共安全的。
(九)其他共用部位及共用设施设备出现安全隐患,危及公共安全的。
发生前款规定情形的,物业服务企业应当采取紧急处置措施、开展应急维修,并告知业主委员会,业主委员会应当对维修事项和紧急情形予以确认。物业服务企业同时应书面告知物业管理区域所在地的区住房和建设部门和街道办事处。应急处置费用可从物业专项维修资金中列支。物业管理区域无业主委员会的,应当告知所在地的街道办事处。业主委员会无正当理由不对维修事项和紧急情形予以确认的,所在地街道办事处可据实代为确认。
第二十五条 应急使用物业专项维修资金的,物业服务企业应拟订应急维修方案,应急维修方案应当包括拟维修项目、预算费用、分摊范围和标准等内容。
应急维修费用在十万元以下的,工程竣工后,业主委员会应当立即按照应急维修方案组织验收。验收合格后,由物业服务企业持业主委员会的书面意见向区管理机构申请核销,并将应急维修方案及使用分摊信息录入物业专项维修资金管理系统。应急维修费用在二万元以上十万元以下的,还应当提交经具有造价咨询资质的专业机构审核的结算报告。
应急维修费用在十万元以上的,按照以下程序办理:
(一)物业服务企业将应急维修方案有关信息录入物业专项维修资金管理系统并核对预分摊信息后,持业主委员会书面意见、街道办事处的审核意见或者相关部门整改通知书、经具有造价咨询资质的专业机构审核的预算报告等资料向区管理机构申请划拨首期款项(首期款项不得超过工程预算费用的百分之五十)。
(二)市管理机构根据区管理机构的划拨通知书划拨相应款项。
(三)工程竣工后,业主委员会按照应急维修方案组织验收和结算。结算报告应当经具有造价咨询资质的专业机构审核。
(四)物业服务企业将竣工验收、结算及应急使用分摊信息录入物业专项维修资金管理系统、核对分摊信息并上传有关电子申请材料后,持竣工验收合格文件、合法票据和结算资料等到区管理机构申请尾款划拨。市管理机构根据区管理机构的尾款划拨通知书划拨尾款。
应急维修费用在十万元以上、物业服务企业先行垫付应急维修费用的,可以在应急维修工程竣工验收合格后,持本条第三款所列的资料向区管理机构办理核销手续,核销时可申请一次性拨付。
第二十六条 下列情形发生的费用应当由相应的责任单位或当事人承担:
(一)依法应当由建设单位或者施工单位在保修期内承担的共有物业维修、更新和改造费用。
(二)依法应当由相关专营单位承担的供水、供电、供气、通讯、有线电视等管线和设施设备的维修和管养费用。
(三)因人为损坏共有物业,应当由当事人承担的修复费用。
(四)根据物业服务合同及相关约定,应当从物业管理费中列支的共有物业的维修和养护费用。
前款规定的情形,如因与第三人发生费用支付争议而导致诉讼、仲裁等无法及时得到相关维修、养护、更新和改造等费用的,可以从物业专项维修资金中先行垫支。相关费用收回的,业主委员会或物业服务企业应当及时补充物业专项维修资金。
第四章 日常维修金的自行管理
第二十七条 业主大会自行管理日常维修金的,应当按照业主决策、核算到户、专款专用、公开透明的要求,通过物业专项维修资金管理系统对日常维修金的使用进行管理,确保日常维修金使用规范、高效、安全。
第二十八条 物业管理区域已成立业主委员会并在数据共享银行的业主共有资金账户下设立日常维修金子账户的,业主大会可以决定自行管理日常维修金。
业主大会决定自行管理日常维修金的,应当制订日常维修金自行管理规则。
第二十九条 业主委员会应当自业主大会决定自行管理日常维修金之日起十五日内,持以下资料向区住房和建设部门申请备案:
(一)备案申请表。
(二)业主大会表决通过有关自行管理日常维修金的决议文件。
(三)业主大会通过的日常维修金自行管理规则。
(四)数据共享银行业主共有资金账户下日常维修金子账户信息。
区住房和建设部门同意自行管理备案的,应当书面告知物业管理区域所在地的街道办事处。
第三十条 业主委员会应当按照日常维修金自行管理规则使用自行管理的日常维修金。非应急使用的,业主委员会应当履行以下程序:
(一)根据物业情况或者业主要求,拟订维修方案。
(二)经业主大会或者相关业主表决通过。
(三)将维修方案中涉及的维修项目、维修金额、施工单位、分摊范围等相关信息及电子申请材料录入物业专项维修资金管理系统。
第三十一条 共有物业的应急维修费用从业主大会自行管理的日常维修金中支出的,由物业服务企业向业主委员会申请,按照日常维修金自行管理规则使用。
第三十二条 业主委员会应当通过物业专项维修资金管理系统对日常维修金的使用进行公示,公示内容应当包括维修方案、业主大会决议文件或者部分业主的书面同意文件、相关票据等材料。
业主有权对自行管理日常维修金的情况进行监督。发现业主委员会或物业服务企业等存在违法行为的,有权向所在地的街道办事处、区住房和建设部门反映。
数据共享银行依申请付款前,应当对付款申请材料中业主大会决议文件或者部分业主的书面同意文件及相应的公示情况进行形式审查并定期发送资金对账单。不符合要求的,数据共享银行应当拒绝付款。
第三十三条 业主大会决定终止自行管理日常维修金或业主大会关于自行管理的决定被依法撤销的,业主大会应当终止自行管理并及时将自行管理日常维修金的余额按照本规定第十五条移交至市物业专项维修资金专户。
第五章 监管
第三十四条 物业专项维修资金自存入专户之日所产生的利息,应当转入物业专项维修资金滚存使用。市管理机构可以在物业专项维修资金管理系统中按栋建立调剂户,尚无法分摊的物业专项维修资金和增值利息可以暂时存入调剂户,具体操作细则由市住房和建设部门另行制定。
市管理机构在保证物业专项维修资金正常使用的情况下,可以依法对物业专项维修资金进行增值运作,除银行储蓄或者依法购买国债外不得用于其他投资,不得借贷给他人或者为他人提供担保。
第三十五条 任何单位和个人不得侵占、挪用物业专项维修资金;不得以任何理由和形式,将物业专项维修资金用于本规定所规定以外的用途。
第三十六条 业主委员会、物业服务企业不按照本规定使用物业专项维修资金的,所产生的费用及相应法律责任由行为人自行承担。构成犯罪的,依法追究刑事责任。
第三十七条 建设单位未按照规定缴纳房屋公用设施专用基金或者首期维修金的,由区住房和建设部门予以追缴,并可责令限期三个月内缴清。逾期未缴清的,可以依法申请人民法院强制执行。
业主大会以民事诉讼的方式依法自行向建设单位追缴房屋公用设施专用基金或者首期维修金的,区住房和建设部门可给予指导。
第三十八条 业主未依法或未按照业主大会的决定,足额缴纳物业专项维修资金的,由业主委员会负责催缴,也可由业主委员会委托物业服务企业代为催缴。
业主大会可以通过管理规约等形式约定对欠缴日常维修金达到一定期限或者一定金额的业主,依照《特区条例》第九十四条规定向管理机构提出不予办理转移或者抵押登记的申请。具体期限和欠缴金额由业主大会决定。
对于符合前款情形的欠缴业主,业主委员会通过物业专项维修资金管理系统向区管理机构提交申请,由市管理机构统一向不动产登记机构提出不予办理转移或者抵押登记的意见。
业主缴清欠缴日常维修金后,业主委员会应当及时通过物业专项维修资金管理系统向区管理机构提交解除限制的申请,由市管理机构告知不动产登记机构解除对其房地产登记的限制措施。
第三十九条 业主大会决定终止使用物业专项维修资金或业主大会关于使用物业专项维修资金的决定被依法撤销的,应当终止使用物业专项维修资金,并及时将未使用的物业专项维修资金按照本规定第十五条移交至市物业专项维修资金专户。
第四十条 物业专项维修资金使用和管理,应当依法接受审计部门的审计和监督。
区管理机构发现物业专项维修资金使用损害业主权益的,应当暂不予办理核销、划拨手续。
街道办事处、业主委员会发现物业专项维修资金使用存在损害业主权益的,可向区管理机构申请暂不予办理核销、划拨手续。
专户银行、数据共享银行应当建立物业专项维修资金查询和复核制度,接受业主大会和管理机构的监督。
第四十一条 按照原《深圳经济特区住宅区物业管理条例》的规定,建设单位已提供合法建设的物业服务用房或合法建设的商业用房且未以房屋公用设施专用基金垫支的,其购置费用可按原规定从物业专项维修资金中抵扣。
《特区条例》实施前,建设单位对共有物业进行维修、更新和改造所发生的费用,经业主大会表决同意,可以从建设单位应当缴纳的房屋公用设施专用基金中抵扣。
采用前款方式抵扣的资金总和不得超过应当缴纳房屋公用设施专用基金的百分之七十。
第四十二条 业主转让物业时,其名下的物业专项维修资金余额随物业一并转让。因拆迁或者其他原因造成物业灭失的,经业主大会、新建设单位或者拆迁组织单位申请应当返还该物业的物业专项维修资金余额。
申请返还物业专项维修资金的,应当按照下列程序办理:
(一)申请人持不动产产权证注销材料、物业灭失维修资金退款申请表、业主银行账户信息等相关资料向区管理机构提出物业专项维修资金返还申请。
(二)区管理机构应当自受理物业专项维修资金返还申请之日起二十个工作日内予以公示。公示应当载明申请人的名称及地址、灭失物业的情况、物业专项维修资金的余额等事项。公示期不得少于十个工作日。
(三)公示期满无异议或有异议经处理的,市管理机构根据区管理机构的划拨通知书返还物业专项维修资金。
第六章 附则
第四十三条 本规定中下列用语的含义是指:
(一)本规定所称“独立产权单位”,是指依法取得建设用地使用权,权属界线固定封闭且独立划定不动产登记单元的建筑物、构筑物等定着物。
(二)一个独立产权单位由两个以上单位或个人共有的,其共有人视为一个房屋所有权人。
(三)本规定所称“住宅、商住、办公及商业物业”的划分依据为土地使用权出让合同或其他有法律效力的文件所确定的土地用途。
(四)本规定所称“入住”,是指在房屋买卖合同约定的时间内,业主收到书面入住通知并办妥相关入住手续。业主收到书面入住通知后,在通知期限内无正当理由不办理相关入住手续的,视为入住。建设单位没有事先书面通知的,以业主实际办妥相关入住手续为准。
第四十四条 物业管理区域由其他管理人管理或业主大会自行管理的,本规定中物业服务企业的职责,由其他管理人或业主大会自行管理主体承担。
第四十五条 未依法成立业主大会和选举产生业主委员会的住宅物业管理区域,可以由区住房和建设部门会同街道办事处,征求该区域业主、物业使用人意见之后,指定物业所在地社区居民委员会负责召集需要业主共同决定事项的会议,并依法代行筹集、管理和使用物业专项维修资金等业主大会和业主委员会职责。
第四十六条 建设单位按照原《深圳经济特区住宅区物业管理条例》有关规定缴纳房屋公用设施专用基金的,以建安工程造价和地价为计算基数(其中原特区内1999年6月30日以后竣工交付的房屋项目专用基金收取的计算基数不含地价)。
对于现存档案中项目相关造价资料缺失,或与客观情况严重不符的房屋项目,区管理机构可参考市造价定额管理机构公布的竣工当年平均建安造价标准予以追缴。
第四十七条 本规定自2020年11月1日起施行。《深圳市物业专项维修资金管理规定》(深府〔2010〕121号)、《深圳市住房和建设局关于进一步优化维修资金使用流程有关事项(试行)的通知》(深建规〔2019〕3号)同时废止。
《深圳市物业专项维修资金管理规定》政策解读
《深圳市物业专项维修资金管理规定》(深府规〔2020〕8号,以下简称《管理规定》)于2020年10月22日经市政府同意,自2020年11月1日起施行,《深圳市物业专项维修资金管理规定》(深府〔2010〕121号)同时废止。
一、立法背景
物业专项维修资金(下称维修资金)作为“房屋养老金”,是一项民生工程,关乎广大业主的切身利益和社会的和谐稳定,备受社会广泛关注。2010年9月10日发布施行的《深圳市物业专项维修资金管理规定》为全市范围内维修资金的管理与使用提供了有力的法律依据,但施行至今已历时10年,随着物业管理和维修资金管理的不断发展,部分规定内容已无法适应维修资金当前管理的现实需要。同时,《深圳经济特区物业管理条例》(以下简称《条例》)经深圳市第六届人民代表大会常务委员会第三十五次会议修订通过,并自2020年3月1日起施行。《条例》的出台进一步完善和创新了我市维修资金管理制度。为落实《条例》的要求,更好地优化我市维修资金管理工作,对《管理规定》予以修订。
二、主要内容
本次修订按照维修资金的“收、用、管”这一主线条,坚持问题导向、发展导向,以保障广大业主合法权益为根本,在《条例》的总体框架内,进一步构建和完善了我市维修资金管理制度体系。《管理规定》共47条,列六章。主要内容如下:
(一)关于职责分工
依据《条例》相关规定,《管理规定》明确了市、区住建部门及市财政、审计、发展改革等部门对维修资金管理的相关职责划分(第五条);规定了市、区两级维修资金管理机构,以及街道办事处的职责划分(第六条)。市管理机构负责全市维修资金的统筹管理工作,负责设立维修资金专户和建立维修资金管理系统等;区管理机构负责辖区内具体监督管理工作,接受市管理机构的业务指导;增加了街道办事处对于维修资金使用管理职责和相关协助义务。
(二)关于维修资金的设立范围
《管理规定》在《条例》的基础上,对“应当设立维修资金”的范围进一步优化细化,明确了应当设立维修资金的范围,即:一是一个物业管理区域内有两个以上独立产权单位和房屋所有权人的,应当设立维修资金;二是一个物业管理区域内有两个以上独立产权单位但仅有一个房屋所有权人,根据土地出让合同约定或者其他合法形式确定土地性质为商品房的,应当设立维修资金,但限整体转让的除外。因此,可以看出以下三种情形可以暂不设立维修资金:一是仅有一个独立产权单位的物业可以不设立维修资金;二是虽有两个以上独立产权单位,但只有一个房屋所有权人,如限整体转让的物业可以不设立维修资金;三是虽有两个以上独立产权单位,但只有一个房屋所有权人,如其土地性质为非商品房的物业,也可以不设立维修资金。
(三)关于维修资金的收取
我市维修资金包括首期归集的专项维修资金(首期维修金)和日常收取的专项维修资金(日常维修金)。一是首期维修金由建设单位按照物业项目建筑安装工程总造价的百分之二,在办理该物业项目不动产首次登记前一次性划入指定的维修资金专户(第八条)。二是日常维修金是由业主自入住之日起,按月随缴纳物业管理费时一并缴纳,由业主大会或者物业服务企业按月存入维修资金专户(第十条);如业主大会决定依法自行管理的,应当将日常维修资金存入业主共有资金账户。其中,对于业主大会既未决定将日常维修金移交市管理机构统一管理,又未决定由业主大会自行管理的,明确规定应当按月移交至市管理机构统一管理,补充了《条例》第九十一条的相关规定(第十一条)。
另外,《管理规定》还对首期维修金收取标准、分摊原则、追缴方式,以及日常维修金缴纳标准、缴纳程序、清算要求等均作了详细的规定。
(四)关于维修资金的使用
《管理规定》承接现行规定,在理顺使用程序的基础上,对《条例》未作具体规定,但实务中可能出现的情形作出了安排,在保障维修资金安全的基础上,尽可能地方便维修资金使用。明确维修资金的使用分为专项使用、日常使用和应急使用三种情形。
专项使用适用于共有物业大、中修和专项更新、改造等项目,由业主大会决定实施。《管理规定》进一步优化细化了专项使用申请流程,并降低了首期款项的最大比例(首期款项不得超过项目经费预算款项的百分之六十),以防止实践中因首期款比例过高导致出现“烂尾”工程(第二十一条)。
日常使用适用于共有物业日常小额维修项目,由业主大会决定、业主委员会具体组织实施。《管理规定》进一步优化细化了日常使用申请和核销流程;明确业主大会应对备用金设立及其额度作出决定;对于专项使用和日常使用的具体划分标准和适用范围,规定由业主大会可以通过管理规约等形式约定(第二十二条、第二十三条)。
应急使用适用于紧急情形下的应急处置和维修项目,由物业服务企业依法组织实施。对于应急使用程序,《管理规定》根据《条例》,结合实际情况,细化了应急情况及应急使用申请流程。为保证维修资金安全,《管理规定》针对应急维修费用在十万元以上的情况,设置分首尾两期划拨,以增强维修资金安全性,减少应急使用被滥用的可能性(第二十四条、第二十五条)。
(五)关于日常维修金的自管
《条例》赋予了业主大会自行管理日常维修金的权利。为进一步规范自管行为,《管理规定》设立了专章,从自行管理的原则、条件、备案、使用要求、监督和终止等方面,对业主大会自管日常维修金的行为作出了细化和要求:明确在满足已成立业主委员会、并且在数据共享银行设立日常维修金子账户两个条件下,业主大会才可决定自行管理,并应制定自行管理规则(第二十八条);业主大会决定自管的,业主委员会应当自业主大会决定自行管理日常维修金之日起十五日内,持相关资料向区住房和建设部门申请备案(第二十九条);明确自行管理应当通过市维修资金管理系统对日常维修金的使用进行管理、公示,以确保公开透明(第三十二条第一款);增加了数据共享银行的审查义务,明确数据共享银行在依申请拨付资金前,应对业主大会决议证明文件和相关公示情况进行形式审查(第三十二条第三款)。
(六)关于强化维修资金的监管
维修资金属于业主共有,涉及到千家万户。为加强维修资金的监督和管理,专设监管一章,一是规定维修资金增值运作和相关禁止性要求,除银行储蓄或者依法购买国债外,维修资金不得用于其他投资,不得借贷给他人或者为他人提供担保,保障资金安全和保值增值管理(第三十四条);二是补充和细化首期维修资金追缴程序,立法明确可以通过申请法院强制执行方式开展追缴工作(第三十七条);三是完善日常维修资金催缴程序,明确和细化对欠缴日常维修金业主启动和解除转移抵押登记限制的具体条件和程序,切实提高可操作性(第三十八条);四是强化维修资金使用监管,明确使用的终止情形和程序(第三十九条、第四十条);五是细化维修资金抵扣规则(第四十一条);六是新增维修资金返还的程序和要求(第四十二条)。
本文标签:

专注执业领域事务
全力办理委托事项
扎实维护合法权益

邓杰律师电话:13715198118
请输入您的联系电话,座机请加区号
